DATA BETTER THAN RTS
GPS predictions
- High Accuracy Orbit and Clock predictions
- 100% Availability. No connectivity required
- Instant data for time to first fix (TTFF)
- upto 1 sec sample rate for a 24 hour period
- SP3 file published the day prior to prediction day
Welcome to the next major advancement in GPS data. Our predictions are intended to be used as a direct replacement for RTS Orbit and Clock corrections. With high accuracy, 100% availability and no connectivity requirements this is a major leap forward in the industry. Click here to receive our data.


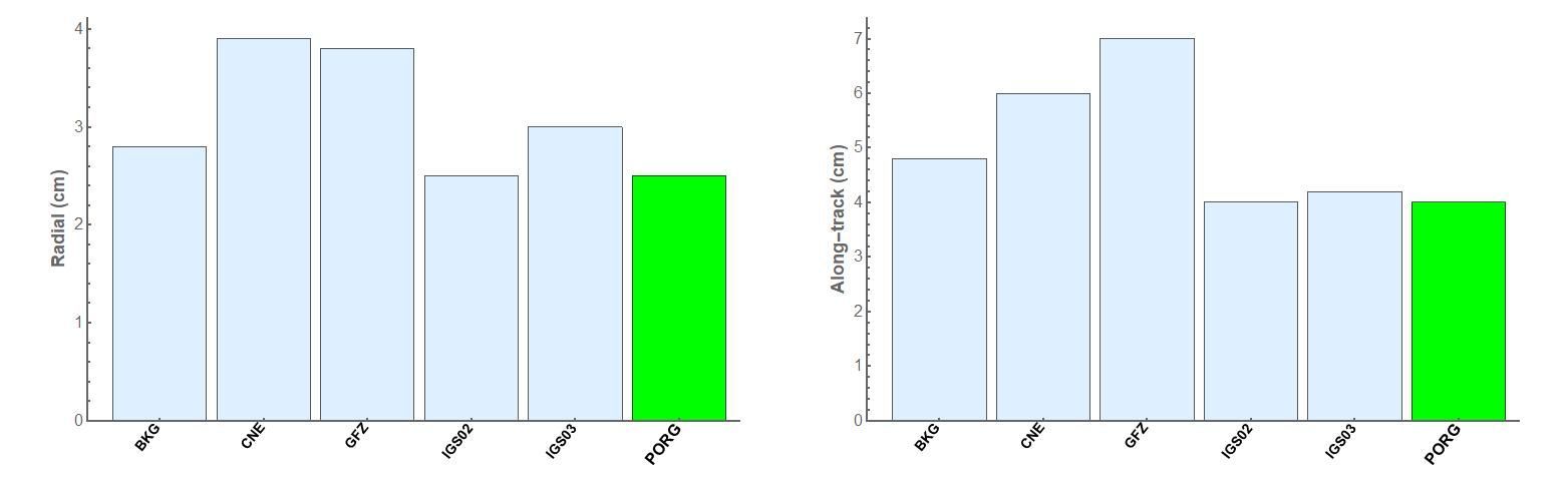
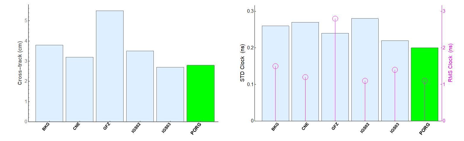
*RTS vs PORG analysis shown for a typical GPS week. Higher accuracies are achievable with a single midday update.